大咖話前沿:2022年高磷血癥臨床研究重大進展盤點——王榮教授座談錄
流行病學調查結果顯示,
近年來,隨著對高磷血癥的認知逐漸深入,相關臨床研究層出不窮,值此辭舊迎新之際,醫脈通邀請到來自山東第一醫科大學附屬省立醫院的王榮教授為大家分享2022年度高磷血癥領域有哪些不容錯過的重大進展。
1.高磷血癥與CKD患者多種不良預后相關
隨著CKD患者腎功能進行性下降,血磷水平會逐步升高,進而導致機體并發心血管鈣化、繼發性甲狀旁腺功能亢進等疾病,近期研究顯示,CKD患者血磷水平與其全因死亡風險增加、生活質量下降等密切相關,再一次強調了CKD患者血磷管理的重要性。
1.1 高磷血癥與CKD疾病進展及心血管事件發生風險相關
西班牙的Bozic M等人基于西班牙腎臟
1.2 高磷血癥與全因死亡風險增加相關
一項新西蘭James Heaf等人在初始透析人群中開展的多中心觀察性研究,納入1580例終末期
從上述兩項研究可以看出,高磷血癥會導致CKD患者心血管事件發生風險、全因死亡率、起始透析治療一年內死亡率等增加,臨床應予以高度重視、積極控制。
2.中國CKD患者高磷血癥管理現狀
2022年是國內高磷血癥領域研究噴發之年,尤其是國內高磷血癥管理現狀相關研究,數項國內重要研究發表在高IF期刊,展現了中國腎臟病研究的不俗實力,而對臨床,這些研究有重要參考價值,有助于整體評估我國當前對高磷血癥的管理是否合理、規范。
2.1 中國CKD患者血磷管理現狀堪憂3
來自四川省人民醫院腎內科的李貴森等人開展了一項全國性的調查研究,共納入51039例存在MBD的血液透析患者和7053例CKD非透析患者,涉及272家醫院或醫療機構,旨在評估我國當前的高磷血癥管理現狀,結果顯示,根據國內2019年指南所建議標準,血磷達標率僅24.3%,而血磷、血鈣、血甲狀旁腺激素綜合達標率僅7.5%(表1),同時,參與該研究的272家機構實現50%以上血磷達標率的僅63家(圖1)。
表1.我國血磷、血鈣和血甲狀旁腺激素達標率


圖1.272家醫院或醫療機構的血磷達標率(%)分布
2.2 中國CKD患者血磷管理與發達國家的差異4
根據上述研究不難發現,我國血磷管理現狀不容樂觀,存在較大的優化進步空間,那么相較于在該領域起步較早的日本及一些西方發達國家,血磷管理差距主要體現在哪些方面呢?Nanhiko Fujii等人發表在《Am J Nephrol》的一項日本多中心CKD隊列研究,分析了美國CKD患者和日本CKD患者在血磷管理方面的差異,在平衡了指標差異后,研究納入了慢性腎功能不全隊列研究(美國,N=3870)和日本CKD隊列研究(日本,N=2632)的所有患者。邏輯回歸分析顯示,無論是否排除25-OH
相較于美國和日本,我國存在磷結合劑起始較晚等高磷血癥管理不足5,而國內不夠理想的血磷管理現狀本身也是血磷管理不佳的直接證據,考慮到血磷水平對患者心血管事件、CKD進展等結局的影響,進一步改善國內CKD患者血磷管理流程的必要性已不言而喻。
表2.美國和日本不同腎功能等級的血磷差異

在Nanhiko Fujii等人的研究中,相較于日本,美國患者的飲食磷負荷更高,這可能是上述結果差異的重要原因。由此及彼,中國CKD患者的飲食結構具體如何,僅通過飲食建議能否合理充分地降低血磷水平?值得進一步研究。
3.高磷血癥治療新進展
相較于高磷血癥與心血管事件、CKD進展等結局的相關性,血磷波動、飲食模式等因素對CKD患者預后的影響亦在2022年呈現出研究井噴的狀態,磷作為受飲食和代謝影響的重要元素,若能從飲食上助力患者血磷控制無疑更有利于提升患者依從性,而近期的研究結果或許有助于各位同道進一步理解飲食相關具體因素對患者血磷的影響。
3.1 血磷波動與透析患者不良預后相關6
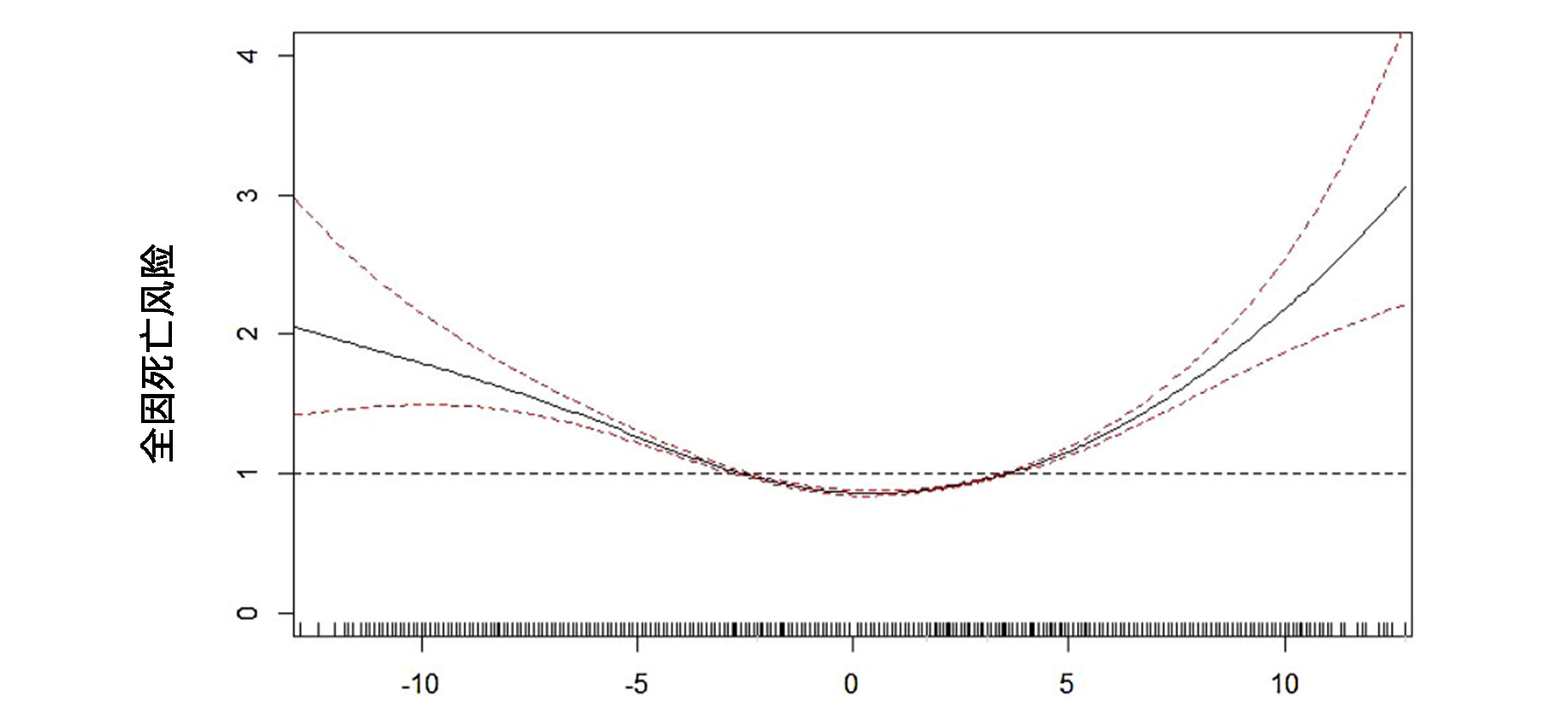
荷蘭馬斯特里赫特大學醫學院是享譽世界的醫學院校,2022年一篇來自其腎臟研究所的大型血磷波動相關研究,結果揭示了血磷波動與血液透析患者全因死亡率的關系。這是一項大規模的回顧性研究,共納入281356名需要血液透析的CKD患者,隨訪18個月,前6個月定義為基線期,基線時平均血磷水平為5.07mg/dL(1.64mmol/L),基線時血磷波動幅度為1.7mg/dL(0.55mmol/L),血磷水平維持于4-6mg/dL(1.29-1.94mmol/L)與最低的全因死亡率相關(圖2),血磷水平過高或過低均與患者全因死亡率升高相關,尤其是血磷低于3mg/dL(0.97mmol/L)者,這可能是因為這類血磷過低患者常處于

圖2.血磷波動水平(mg/dL)與血液透析患者全因死亡風險的關系曲線
3.2 影響CKD飲食依從性的相關因素7
G-CKD研究是一項大型、前瞻性、觀察性研究,共納入5217例暫不需透析治療的CKD患者,自2012年啟動后,患者每兩年完成一次隨訪問卷,主要觀察死亡、腎功能惡化及心血管事件,并評估患者對CKD飲食模式的依從性。第一次的隨訪結果顯示,年齡更輕、較少飲用酒精飲料、鍛煉量不足、教育水平較低、eGFR較低等因素與CKD飲食依從性低呈正相關。
在期待G-CKD后續結果的同時,2022年亦有關注患者特征對CKD患者影響的研究發表,尤其是受教育水平較低這一點,得到國內外學者的廣泛關注。
3.3 低教育程度與CKD患者不良預后相關8
從G-CKD研究中可以看出,低教育程度與CKD飲食模式依從性低存在一定關系,而CKD飲食模式依從性低又可能影響患者預后,那么低教育程度是否確實會影響CKD患者預后呢?來自德國亞琛大學醫學院的Doris Winitzki等人基于G-CKD研究隊列,進行了二次分析以回答上述問題。結果顯示,低教育程度患者的全因死亡率、腎功能衰竭和主要心血管不良事件(MACE)風險均高于中等教育程度患者(圖3)。

圖3.受教育程度與全因死亡/MACE/腎功能衰竭風險(Hazard Ratio)之間的關系
根據近期發表的研究,與非透析患者飲食管理依從差相關的因素還有
3.4 改善飲食模式,顯著延緩CKD進展
地中海飲食、高血壓飲食和德國飲食金字塔是較熱門的飲食模式,一項橫斷面研究納入了2813例CKD患者,旨在評估高血壓飲食模式和地中海飲食模式對患者腎臟健康的影響,結果顯示,此二種飲食模式與更高的eGFR顯著相關(P均<0.05)9。
同時,當前的飲食推薦主要集中于建議透析患者盡量避免高磷飲食,但過度限制飲食磷攝入,有時會導致蛋白攝入不足。一項多中心前瞻性研究納入415例血液透析患者,旨在評估飲食磷攝入與患者全因死亡率間的關系,結果顯示,相較于飲食磷攝入較多,飲食磷攝入較少的血液透析患者與更高的全因死亡率相關(調整后HR,3.33;95%Cl,1.75-6.33)10。因此,單純為降低患者血磷水平而過度限制患者蛋白攝入,甚至反倒可能會導致患者全因死亡率增加。
3.5 降磷藥物相關研究進展
降磷藥物是控制高磷血癥患者血磷水平的重要手段,臨床目前常用的磷結合劑分為含鈣磷結合劑和非含鈣磷結合劑,近年有數項大型研究對兩者分別進行了遠期預后相關研究。
? IMPROVE-CKD研究11是一項多中心、隨機雙盲對照試驗,納入血磷>1 mmol/L的CKD3b~4期患者278例,隨機分配至
? PECERA研究12是一項前瞻性多中心開放隊列研究,其結果則顯示與安慰劑組相比,接受碳酸
? REVEAL研究13是一項大樣本回顧性真實世界研究,納入9047例非透析CKD高磷血癥患者,其結果顯示,相較于含鈣磷結合劑組(N=2403),接受碳酸司維拉姆治療的患者(N=6644)發生MACE(HR 0.91,95% CI 0.84~0.99,P = 0.0249)、接受腎臟替代治療(HR 0.84,95% CI 0.79~0.91,P < 0.001)的風險顯著下降,同時全因死亡風險相似(HR 0.97,95% CI 0.87~1.08,P = 0.5944)。
從上述研究不難發現,碳酸司維拉姆等非含鈣磷結合劑可改善非透析 CKD 患者的遠期預后,是臨床非透析CKD高磷血癥患者在調整飲食模式基礎上,進一步改善血磷水平的優選方案。
高磷血癥的發生會嚴重影響CKD患者的疾病進程和預后,降低患者的生活質量。目前,在CKD患者高磷血癥的管理上,仍存在對非透析患者關注不夠、患者飲食建議依從性不佳、具體飲食模式仍有爭議等問題,故血磷控制水平并不理想,部分地區血磷達標率不足10%,導致患者心血管事件、全因死亡風險等顯著增加,因此在臨床診療中,僅通過飲食難以改善血磷水平,應該給予降磷藥物,碳酸司維拉姆對于改善患者遠期預后具有獨特優勢,是臨床控制CKD患者血磷水平的優選方案,同時也是中國目前唯一具有非透析CKD高磷血癥患者適應證的非含鈣磷結合劑。

王榮 教授
山東第一醫科大學附屬省立醫院 副院長
主任醫師、教授、博士生導師
山東省醫學會副會長
山東省醫學會腎臟病分會主任委員
中國醫師協會腎內科醫師分會副會長
世界華人醫師協會腎內科醫師分會副會長
泰山學者特聘專家
山東省有突出貢獻的中青年專家
全國先進工作者
參考文獻
1. Bozic M, et al. Nephrol Dial Transplant. 2022; 37(4): 663-672.
2. James Heaf, et al. BMC Nephrol. 2022 Jun 27;23(1):229.
3. Ya Zhan, et al. Sci Rep. 2022 Oct 6;12(1):16694.
4. Fujii N,et al. Am J Nephrol. 2022 ; 53(2-3): 226–239.
5. Zhou C,et al. Chin Med J (Engl). 2016;129(19):2275-80.
6. Janice, et al. Nephrology Dialysis Transplantation 37 (Supplement 3): i680-i681, 2022.
7. Kaesler N, et al. Eur J Clin Nutr. 2021 Sep;75(9):1389-1397.
8. Doris W, et al. Kidney Int Rep.2022 Feb 14;7(5):1004-1015.
9. Brown-Tortorici AR, et al. Nutrients. 2022 Jul 26;14(15):3070.
10. Heindel J, et al. J Ren Nutr. 2020 July ; 30(4) 296–304.
11. Tiong MK, et al. Nephrol Dial Transplant. 2022; 25: gfac043.
12. Pablo Molina, et al. Nephrology Dialysis Transplantation, Volume 37, Issue Supplement_3, May 2022, gfac073.008.
13. Ping Li, Xuefeng Sun, Xiangmei Chen, Guangyan Cai. J Am Soc Nephrol. 2022, 853
MAT-CN-2233261