Eur Urol:較小的檢測前列腺特異性抗原時的年齡是否能夠降低前列腺癌的死亡率?
前列腺癌(PC)的死亡風險依賴于年齡,但多大的年齡開始進行前列腺特異性抗原(PSA)篩查仍不確定。

近期,來自美國的研究人員在《Eur Urol》上發表文章,調查了PC死亡風險與首次PSA篩查時的年齡之間的關系。

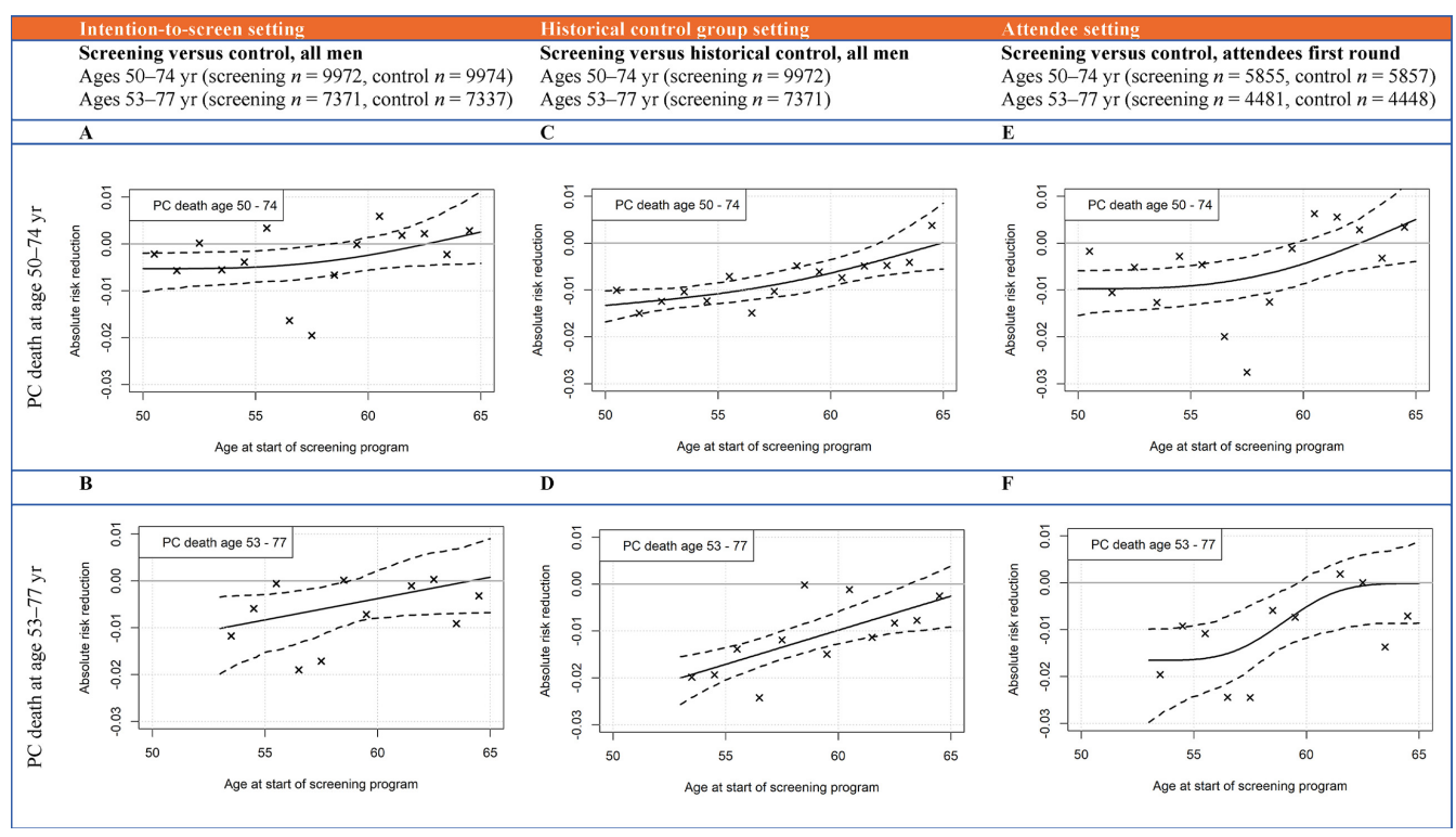
研究招募了50-70歲的男性,并進行兩年一次的PSA篩查(n=10000),對照組不進行上述篩查,但有機會接受PSA檢測(n=10000)。即研究的干預措施是定期或機會性PSA篩查或無PSA篩查。研究人員在三種情況下建立了篩查的起始年齡與PC死亡率絕對風險降低之間的非線性關系模型:
(1)意向性篩查(隨機組);
(2)歷史性對照(篩查組和1990-1994年登記的數據);
(3)僅參加者(篩查的參加者和匹配的對照)。
研究人員通過比較生存模型(具有或不具有試驗組和年齡之間的交互作用),來檢驗PSA篩查對PC死亡率的影響是否依賴于開始篩查的年齡(有意篩查和僅參加者)。
研究結果發現,開始PSA檢測的年齡越小,PC死亡率的降低幅度就越大。與60歲首次接受PSA檢查相比,55歲開始篩查可使PC死亡的風險降低一半。對整個隊列而言,開始篩查的年齡與篩查對PC死亡率的影響之間的關聯性測試略高于常規的統計學顯著水平(p=0.052),而在僅參加者情況中具有統計學意義(p=0.002)。由于55歲以前開始篩查的男性中,疾病特異性死亡人數較少,且難以區分開始年齡和篩查持續時間的影響,因此本研究存在局限性。

開始PSA篩查的年齡與PC死亡率絕對風險減少的情況統計
綜上所述,50-55歲開始進行前列腺PSA水平的篩查能夠大幅度的降低PC死亡風險,且比既往研究預估的效果要更好。
原始出處:
Sigrid V Carlsson, Rebecka Arnsrud Godtman, Carl-Gustav Pihl et al. Young Age on Starting Prostate-specific Antigen Testing Is Associated with a Greater Reduction in Prostate Cancer Mortality: 24-Year Follow-up of the G?teborg Randomized Population-based Prostate Cancer Screening Trial. Eur Urol. Nov 2022
- 上一篇
European?Radiology:前列腺活檢在核磁共振靶向治療時代中的應用
現階段,多參數磁共振成像(mpMRI)已被越來越多地用于前列腺癌(PCa)活檢的可視化和靶向檢查。與標準的經直腸超聲(TRUS)引導的12芯系統活檢(SBx)相比,MRI-靶向活檢(TBx)增加了具有臨床意義的PCa(csPCa)的檢測,同時減少了假陰性率。然而,與單獨使用MRI-TBx相比,這兩種技術的結合使csPCa的檢出率更高,而且根治性前列腺切除術的
- 下一篇
JAMA Oncol:采用MRI+活檢進行前列腺癌篩查的成本-效果比
當下很少在篩查背景下前列腺特異性抗原 (PSA) 檢測與磁共振成像 (MRI) 相結合用于前列腺癌的檢測進行評估。本文報告了采用MRI及后續聯合靶向和標準活檢的好處。 基于STHLM3-MRI研究的數據,研究人員評估了在瑞典55-69歲男性中,使用MRI結合靶向活檢和標準活檢與單用標準活檢進行前列腺癌篩查的成本-效益。主要評估了檢測數量、發病率、死亡率