Clin Cancer Res:Niraparib聯合鐳-223治療轉移去勢抵抗性前列腺癌的I期研究
據估計,2021年美國有25萬名男性診斷為前列腺癌,是美國男性癌癥死亡的第二大原因。前列腺癌細胞的生長依賴于雄性激素,因此,雄性激素阻斷療法是治療前列腺癌的基礎療法。但隨著時間的推移,該療法仍會出現疾病進展,部分是通過不依賴于雄性激素刺激的雄性激素受體(AR)重新激活的機制,引起去勢抵抗性前列腺癌。

近期,來自美國的研究人員在《Clin Cancer Res》上發表文章,調查了niraparib(一種PARP抑制劑)與Radium-223聯合治療轉移趨勢抵抗性前列腺癌(mCRPC)的安全性情況。

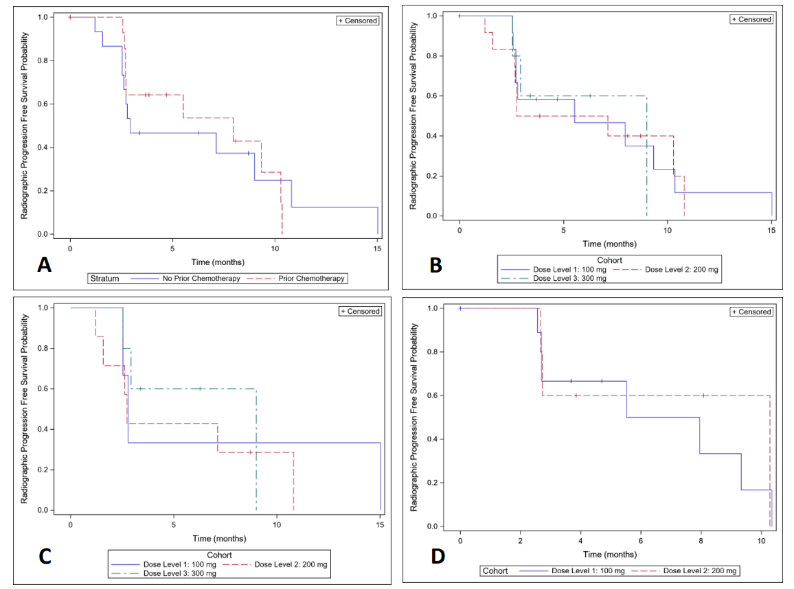
研究納入了接受≥1線雄激素受體(AR)靶向治療后,出現進展性mCPRC和骨轉移,但沒有已知的BRCA-1或BRCA-2變異或較大內臟疾病的男性。Niraparib劑量逐漸升級并與Radium-223標準劑量聯合使用,并采用時間-事件連續重新評估的方法進行評估。劑量限值毒性(DLT)概率<20%的最高劑量水平定義為最大耐受劑量(MTD)。次要終點包括PSA變化和無進展生存。探索性分析包括評估ctDNA中發現的DNA突變以及全血樣本中評估的基因表達變化。
共有30名患者接受了niraparib和鐳-223治療。其中,13名患者接受了100毫克niraparib治療,12名患者接受了200毫克niraparib治療,5名患者接受了300毫克的niraparib治療。共有6起DLT事件:2例(13%)為中性粒細胞減少癥,2例(13%)為血小板減少癥,疲勞和惡心各有1例(3%)。貧血(2/13%)和中性粒細胞減少(2/13%)是最常見的3級不良事件。對于既往接受過化療的患者,MTD為100毫克,而未接受過化療的患者MTD為200毫克。響應者的全血PAX5和CD19基因表達較高,而非響應者的ARG-1、IL-2R和FLT3基因表達較高。

放射無進展生存(rPFS)情況
綜上所述,niraparib與Radium-223聯合治療mCRPC患者是安全的。另外,結合生物標志物的進一步研究,將更好地闡明PARP抑制劑與DNA破壞性藥物和其他藥物聯合治療的作用。
原始出處:
Zachary Quinn, Benjamin Leiby, Guru Sonpavde et al. Phase I Study of Niraparib in Combination with Radium-223 for the Treatment of Metastatic Castrate Resistant Prostate Cancer. Clin Cancer Res. Nov 2022
- 上一篇
JAMA Oncol:采用MRI+活檢進行前列腺癌篩查的成本-效果比
當下很少在篩查背景下前列腺特異性抗原 (PSA) 檢測與磁共振成像 (MRI) 相結合用于前列腺癌的檢測進行評估。本文報告了采用MRI及后續聯合靶向和標準活檢的好處。 基于STHLM3-MRI研究的數據,研究人員評估了在瑞典55-69歲男性中,使用MRI結合靶向活檢和標準活檢與單用標準活檢進行前列腺癌篩查的成本-效益。主要評估了檢測數量、發病率、死亡率
- 下一篇
Prostate:在PSA≤0.5ng/ml時啟動挽救性放療對術后復發的前列腺癌患者的無轉移生存影響如何?
在過去的幾十年里,由于PSA篩查的早期識別的普及以及醫療和手術管理的進步,前列腺癌的死亡率在下降。然而,有些男性患者在手術后雖然獲得了初步的生化緩解,但最終還會出現生化失敗,并有可能繼續發展為轉移性疾病。挽救性放射治療(SRT)適用于根治性前列腺切除術后的生化失敗。既往的數據顯示,在較低的PSA水平上啟動SRT治療可以改善隨后的生化控制,然而鑒于前列腺癌的自