對于omicron變異株,抗原居家自測的準確度如何? | 研究速遞
逆轉錄聚合酶鏈反應(RT-PCR檢測)是目前對于確診新冠感染的標準檢測方法,由專業人員操作,最快也要4小時出結果。與RT-PCR檢測相比,快速抗原檢測得到檢測結果的速度更快(大約20分鐘),更加方便,可居家自測。現如今omicron變異株已成為全球流行的病毒,居家自測已成為我國當今應對omicron變異株的“有力武器”,可是抗原居家自測的準確度怎么樣呢?
2022年9月,全球權威期刊《英國醫學雜志》(BMJ)發表一項來自荷蘭的大型前瞻性研究,通過參與者自我采集的鼻拭子或者鼻拭子+口咽拭子,對三種市售試劑盒與RT-PCR的檢測效果進行了比較。研究發現:在omicron出現在荷蘭并成為主要流行株期間,使用三種市售試劑盒進行的SARS-CoV-2快速抗原自測能夠達到70%~81%的靈敏度。
研究方法
2021年12月21日至2022年2月10日,在荷蘭設立3個公共衛生服務covid-19檢測點。6497名年齡≥16歲的covid-19癥狀患者前來接受檢測,作為參與者。參與者進行了一份用于RT-PCR檢測的棉簽樣本,并進行快速抗原檢測,在無監督的情況下使用鼻腔自采樣(在omicron出現期間,當omicron占感染總數的90%時作為第一階段)或隨后的口咽+鼻腔聯合自采樣(第二階段:當omicron占感染總數的99%時)。評估的三種市售試劑盒分別是:Flowflex(Acon Laboratories;phase 1 only),MPBio(MP Biomedicals)和Clinitest(Siemens-Healthineers)。
觀察指標:以各自檢結果的敏感性、特異性、陽性預測值和陰性預測值為主要觀察指標,以RT-PCR檢測為參考標準。
研究結果
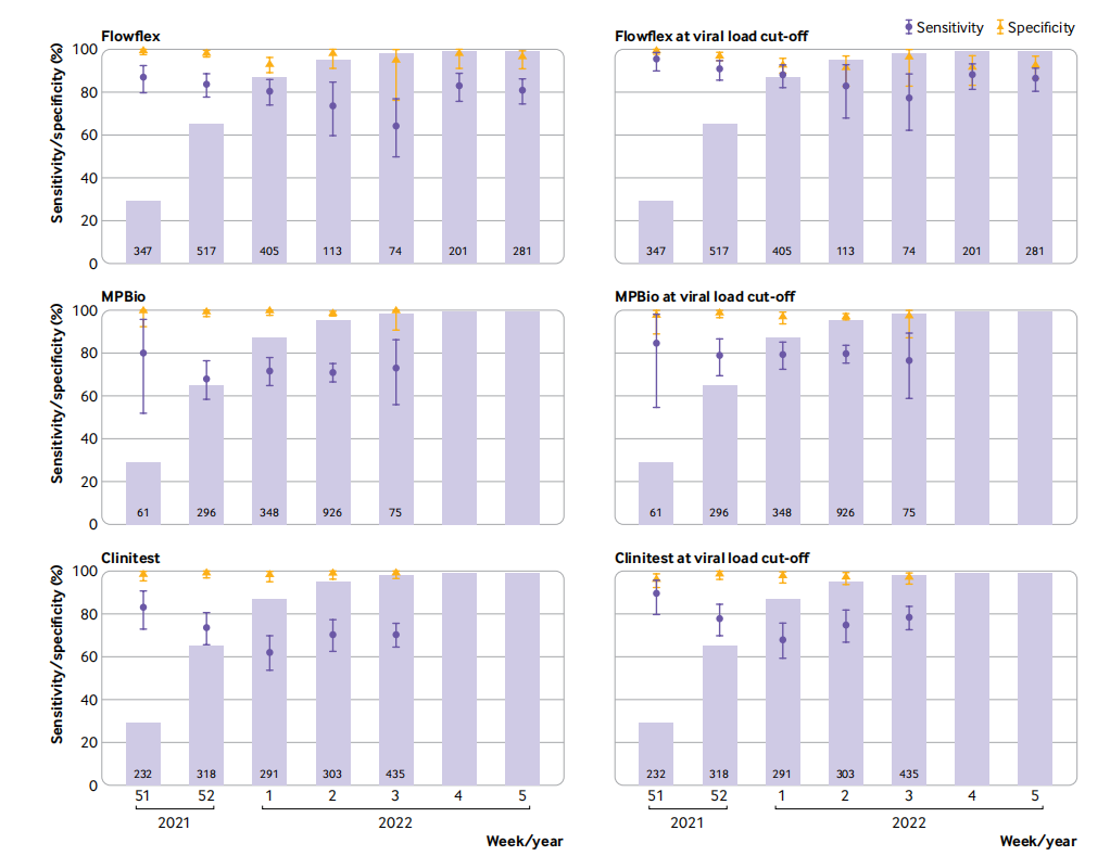
共計6497人在2021年12月21日至2022年2月10日被納入研究,在此期間,荷蘭由omicron變異株引起的SARS-CoV-2感染比例從29%上升到99%。在整個研究期間,采用鼻拭子時,三種試劑盒的靈敏度范圍是77%~86%,但omicron變異株成為主要流行株后,上述范圍降低至70%~81%。對于聯合應用口咽拭子和鼻拭子的兩項檢測,靈敏度比單獨使用鼻拭子高出多達10%。亞組分析發現,對于之前獲得陽性檢測結果,接受確認性快速抗原自測的人,靈敏度升高,對于有COVID-19病史的人,靈敏度略有降低(見圖1-圖4)。

圖1 在omicron出現期間,使用Flowflex(Acon Laboratories)進行快速抗原自測


圖2 在omicron出現并成為主要流行株期間,使用MPBio(MP Biomedicals)進行快速抗原自測


圖3 在omicron出現并成為主要流行株期間,使用Clinitest (Siemens-Healthineers)進行快速抗原自測

圖4 三種試劑盒檢測靈敏度與RT-PCR檢測的比較
第一階段
在第一階段,Flowflex組45.0%(n=279)的參與者,MPBio組29.1%(n=239),Clinitest組35.4%(n=257)的參與者是確認性測試者(之前通過主動自檢檢測呈陽性)。鼻自采樣的總體敏感性,Flowflex為79.0%(95%CI 74.7%~82.8%),MPBio為69.9%(65.1%-74.4%),Clinitest為70.2%(65.6%-74.5%)。確診性試驗者的敏感性(分別為93.6%、83.6%和85.7%)明顯高于其他原因試驗者(分別為52.4%、51.5%和49.5%)。從占感染總數29%的omicron到占感染總數95%的omicron,敏感性分別從87.0%-80.9%(P=0.16,χ2檢驗)、80.0%-73.0%(P=0.60)和83.1%-70.3%(P=0.03)下降,見圖1。
第二階段
在第二階段,MPBio組53.0%(n=288)的參與者和Clinitest組44.4%(n=290)的參與者是確認測試者。MPBio和Clinitest的總敏感性分別為83.0%(78.8%-86.7%)和77.3%(72.9%-81.2%)。口咽鼻聯合自采樣與鼻腔自采樣相比,證實性試驗者的敏感性略高(分別為87.4%和86.1%),其他原因試驗者的敏感性顯著高(分別為69.3%和59.9%),見圖1-圖3。
研究結論
三種鼻腔自采樣快速抗原檢測在omicron出現時敏感性降低,而Clinitest的敏感性有統計學意義。MPBio和Clinitest的敏感性在加入口咽鼻自采樣后有所提高。自檢結果陽性可立即進行自我隔離,無需進行確認檢測。自檢結果為陰性的個人應堅持一般預防措施,因為不能排除假陰性結果。MPBio和Clinitest的制造商可以考慮將使用說明擴展到口咽和鼻腔聯合自采樣,其他快速抗原檢測的制造商也應該考慮評估這一點。
參考文獻:SchuitE, Venekamp RP, Hooft L, Veldhuijzen IK, van den Bijllaardt W, Pas SD, Zwart VF, Lodder EB, Hellwich M, Koppelman M, Molenkamp R, Wijers CJH, Vroom IH, Smeets LC, Nagel-Imming CRS, Han WGH, van den Hof S, Kluytmans JAJW, van de Wijgert JHHM, Moons KGM. Diagnostic accuracy of covid-19 rapid antigen tests with unsupervised self-sampling in people with symptoms in the omicron period: cross sectional study. BMJ. 2022 Sep 14;378:e071215. doi: 10.1136/bmj-2022-071215. Erratum in: BMJ. 2022 Sep 16;378:o2241. PMID: 36104069; PMCID: PMC9471225.
- 上一篇
ERSD患者反復感染新型冠狀病毒肺炎(COVID-19)丨病例探討
一般認為,當小球濾過率降至15ml/(min.1.73m2)以下時,即可診斷為終末期腎臟病(End stage renal disease,ESRD)。對于ERSD患者,感染新型冠狀病毒肺炎(COVID-19)后,有哪些特殊臨床表現呢?今天,我們將講述1例ESRD患者反復感染COVID-19的病例。病例描述2020年3月,1名患有多種合并癥的79歲男性肥胖E
- 下一篇
CKD4期患者,是否應該避免使用造影劑增強CT?丨病例討論
半個多世紀以來,關于造影劑引起急性腎損傷的恐懼一直影響著臨床決策。造影劑引起的急性腎損傷通常被認為是醫院獲得性急性腎損傷的重要原因,應該如何看待造影劑對腎臟的損害,有待進一步探討。2022年11月,全球權威期刊《新英格蘭醫學雜志》(NEJM)發表了一項病例摘要:針對一例疑似肺栓塞的慢性腎臟病(CKD)4期患者是否應該進行造影劑的增強CT檢查設置疑問,邀請業內