European?Radiology:放射組學在胰腺癌術前分級中的應用

胰腺導管腺癌(PDAC)是最常見的胰腺惡性腫瘤,5年生存率約為7%。80-85%的胰腺癌患者在診斷時已無法切除。
眾所周知,PDAC預后的決定性因素是組織病理學亞型。分化良好的PDAC(1級)與術后長期生存有關。而分化不良是一個獨立的預后因素,會影響總的生存率。鑒于PDAC的預后不佳以及術后并發癥的高發生率,臨床上需要進一步的風險分層以制定更有效的治療策略。在常規實踐中,病變的分化程度是在進行手術治療后確定的。為了改善手術治療后患者的生存預后和生活質量,準確的術前診斷意義重大。盡管術后出現胰腺炎并發癥的風險很高,但術前確定PDAC等級的唯一方法是侵入性活檢,其中包括超聲引導下的內窺鏡細針活檢(EUS-FNB)和超聲/計算機斷層掃描(CT)引導下的經皮活檢。因此,需要一種安全的、可獲得的術前方法來確定PDAC的分化程度。
目前,可靠地診斷PDAC的唯一方法是影像學手段,如超聲、CT、MRI或綜合成像。目前,CT在診斷胰腺癌方面的敏感性和特異性分別達到89%和90%。腫瘤的動態CT圖像顯示了腫瘤的擴散、腫瘤組織的血管化和主血管的侵犯。然而,這些成像數據在微觀結構和分子水平上大多是非特異性的,許多遺傳和預后信息仍未被揭示。
放射基因組學是一種在腫瘤的基因型和可視化表型之間建立關系的技術,與紋理分析密切相關。放射基因組學通過從醫學圖像中提取大量的定量特征,對腫瘤表型進行全面的定量評估。因此,放射組學可以用來揭示癌癥,用于鑒別診斷、手術策略、預后、反應預測和隨訪。
近日,發表在European Radiology雜志的一項研究為PDAC的分級預測開發了一個基于放射組學模型的診斷算法,為臨床的術前無創評估提供了技術支持。
本研究納入91名經組織學確認的PDAC患者,根據腫瘤等級進行亞組分類。兩位接受組織學盲審的放射科醫生獨立分割病灶,在所有增強圖像上進行定量紋理分析。計算PDAC和未改變的胰腺組織的密度比,以及動脈、門靜脈和延遲檢查階段的相對腫瘤增強(RTE)。主成分分析被用于多變量預測器分析。二元邏輯模型中預測因子的選擇分2個階段進行:(1)使用單因素邏輯模型(選擇標準為P < 0.1);(2)使用正則化(變量標準化后的LASSO回歸)。
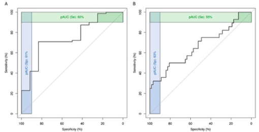
在動脈期、門靜脈期和延遲期的62個紋理特征中,分別有4個、16個和8個存在明顯差異(P < 0.1)。經過篩選,最終的診斷模型包括DISCRETIZED HU標準、DISCRETIZED HUQ3、GLCM相關、門靜脈期造影劑增強的GLZLM LZLGE和CT研究延遲期的CONVENTIONAL_HUQ3等放射組學特征。在其基礎上,建立了一個診斷模型,顯示≥2級的AUC為0.75,3級的AUC為0.66。

圖 基于模型得到的≥2級(A)和3級(B)概率的ROC分析結果。最大(>90%)特異性區域以藍色標示,最大(>90%)敏感性區域以綠色標示
本研究表明,不同等級PDAC的放射組學特征各不相同,這增加了CT在術前診斷中的準確性。本研究建立了一個包括紋理特征的診斷模型,給模型可以用來預測PDAC的等級,為臨床的術前、無創、準確評估提供了支持。
原文出處:
Valeriya S Tikhonova,Grigory G Karmazanovsky,Evvgeny V Kondratyev,et al.Radiomics model-based algorithm for preoperative prediction of pancreatic ductal adenocarcinoma grade.DOI:10.1007/s00330-022-09046-1
- 上一篇
eClinicalMed:SBRT聯合派姆單抗和曲美替尼治療術后局部復發的胰腺癌
關于增加放療劑量是否與胰腺癌的免疫治療和靶向治療具有協同作用,目前缺乏相關研究。本文進行了一項二次分析,以調查與吉西他濱相比,高放射劑量聯合派姆單抗和曲美替尼是否能提高術后局部復發性胰腺癌患者的生存率。這是一項在我國開展的開放標簽、隨機對照的2期臨床試驗,招募了攜帶KRAS突變和PD-L1免疫組化染色陽性術后局部復發的胰腺導管腺癌患者,隨機分成兩組,一組予以
- 下一篇
Cancer Cell:有氧運動可重編程免疫系統,增強抗腫瘤免疫力
胰腺癌(Pancreatic Cancer),是一種惡性程度很高,診斷和治療都很困難的消化道惡性腫瘤,其中胰腺導管腺癌(PDAC)占全部胰腺癌的95%以上。 近年來,胰腺癌發病率和死亡率明顯上升,胰腺癌早期的確診率不高,發現時往往已是晚期,此時癌細胞已經擴散,一些化療藥物雖然有效,但通常會產生耐藥性,癌癥免疫療法也難以發揮作用。胰腺癌的5年生存率不足7%,是